t&cs apply. 18+.
my go-to payment method for deposits and withdrawals is skrill and so i play only at skrill casinos. you need to know what are the best real money casinos to play games online.
crown casino buffet
online and in-person betting began sept. in an effort to change lawmakers worked a clause into the 2023 budget that phases out promo tax deductions for operators after 12-months in the market.

一维谐振子链上的对易关系
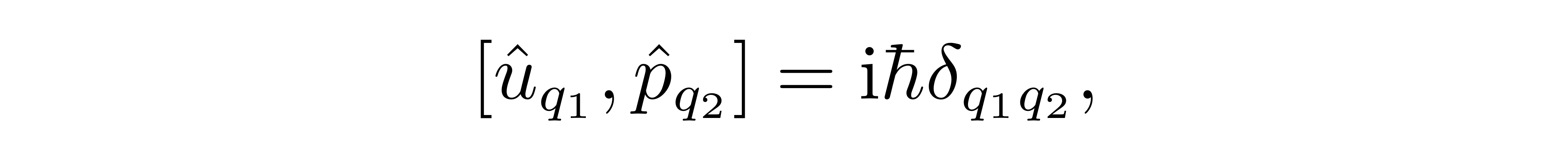
在最近的系列课程中,张朝阳聚焦于对自然界中普遍存在的、简洁但不简单谐振子模型,分别从经典与量子、单体到多体等角度展开了详尽的讨论。上一节直播课上,他利用模式分解和格点傅里叶变换求解了无限长一维谐振子的运动方程,发现链上个谐振子的集体运动可以视为链上的一个传播的波动,称之为“格波”,即“格点上的波动”。利用类似的思路,张朝阳还对这样一个谐振子链讨论了量子化处理。按照一般正则量子化的思路,在所谓的“q空间”中,我们首先将对偏移量即其对应的动量重新以算符的形式表达为
![]()
并要求他们之间满足正则对易关系
![]()
值得注意的是,在算符化后,某一力学量算符定义不应再依赖于时间。同时,为了行文简洁和增加可读性,我们约定,在下文展开对量子化的谐振子链讨论中,都将略去对算符的 hat 记号。
考虑一条链上的不同点处的谐振子应该保持独立,于是考虑两点 q1 与 q2 时,上述对易关系又可以统一地被表达为
![]()
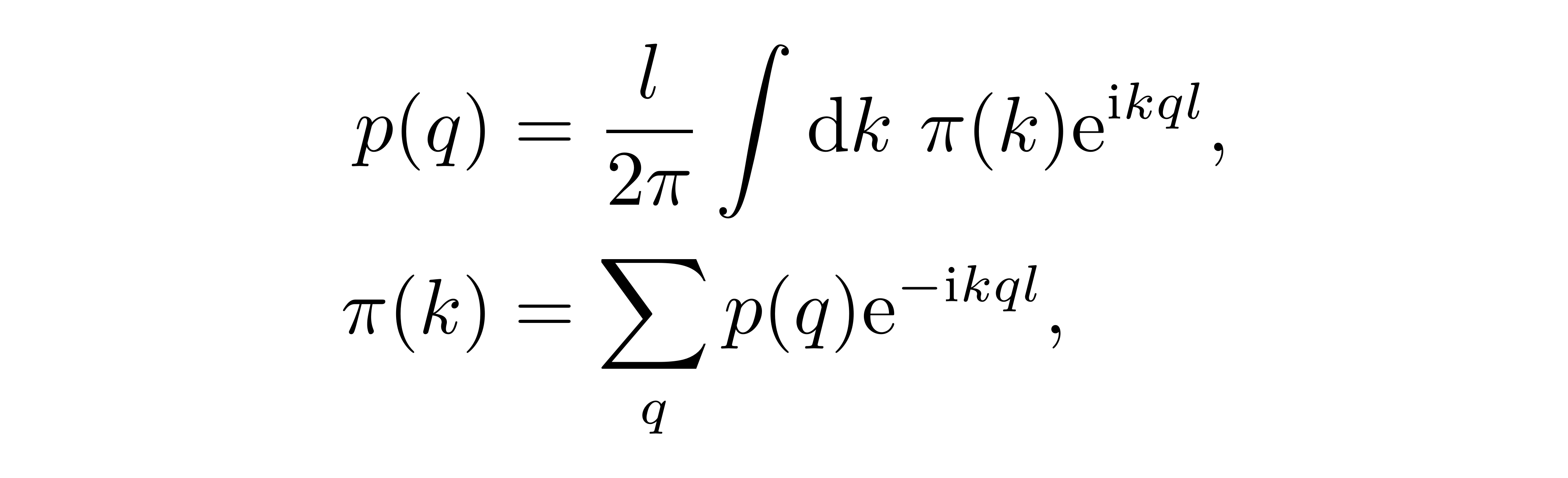
其中我们用到了Kronecker-δ记号。为了更好地求解体系的能谱,我们可以将格点傅里叶变换用于对算符的处理上,即取
![]()
或者利用其逆变换定义一个新的“坐标”算符
![]()
作为体系的基本自由度。形象地说,前者说明 u_q 相当于 ξ(k) 在投影到某个简正模式上的投影系数;或者从后者理解, 想象指数部分是一个“吸血鬼”,在每点的振荡模式 u_q 上都分别吸一点血,然后重新组合出 ξ(k) 。同样地,可以证明对正则动量同样有
![]()
这里格点傅里叶变换中的积分与求和的上下限与上面应当保持一致。同样是为了行文简洁,在不致混淆时,此后我们约定凡出现积分求和处,上下限将保持一致而略去不写。
张朝阳提醒,这里值得注意的是,作为可观测量的谐振子偏移量 u 及其正则动量
![]()
都是厄米算符
![]()
而经由傅里叶变换定义的辅助变量出现的 ξ(k) 则不然。利用式 (1) 不难验证
![]()
即其并非再是厄米算符,反而取共轭这一操作等价于将一个前向传播的波形(k > 0),转变为一个反向传播的波形(k < 0)。对 π 亦可得到同样的结论
![]()
以 ξ 和 π 为自由度下,或者说在“k空间”中,可以将哈密顿量改写为若干独立的振动模式的叠加
![]()
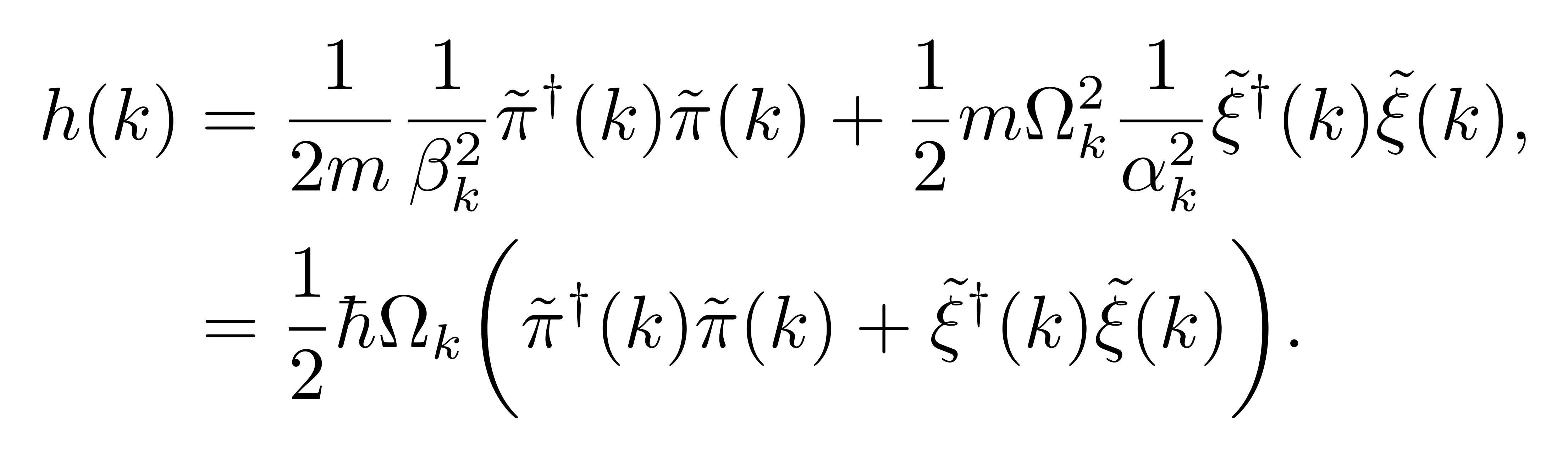
其中,每一独立振动模式的哈密顿量为
![]()
参数
![]()
为了在“k空间”中完成量子化,接下来要问是:这样一组新变量的对易关系为何?由于 ξ 的非厄米性,且注意到在哈密顿量中,ξ 与其厄米共轭一般成对出现,所以首先我们要问
![]()
具体的证明需要利用到展开式 (1),仔细地计算不难得到
![]()
而另一方面,如果交换两算符的乘积顺序,
![]()
注意到交换下标 q1 和 q2 不会改变求和结果,所以又有
![]()
而由于不同位置处的 u 算符本身是对易的
![]()
即交换乘积顺序不改变结果,所以有
![]()
再利用 ξ 本身的性质(参见式 (2)),不难得到
![]()
同样的计算过程可以证明到
![]()
同时,类比于讨论单个谐振子中常用到的对易关系
![]()
我们还需要问
![]()
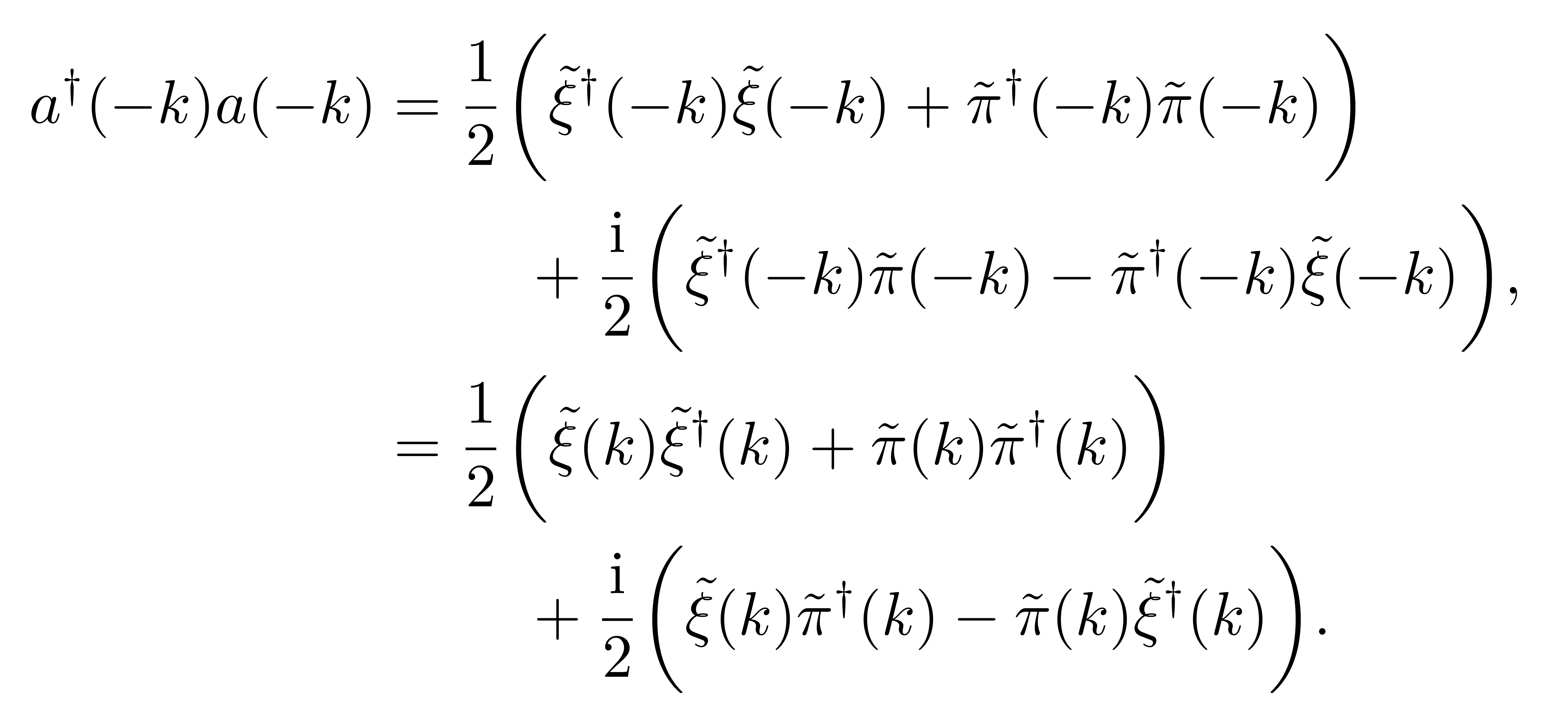
分别计算
![]()
和
![]()
注意此时指数部分是一致的,两者相减有
![]()
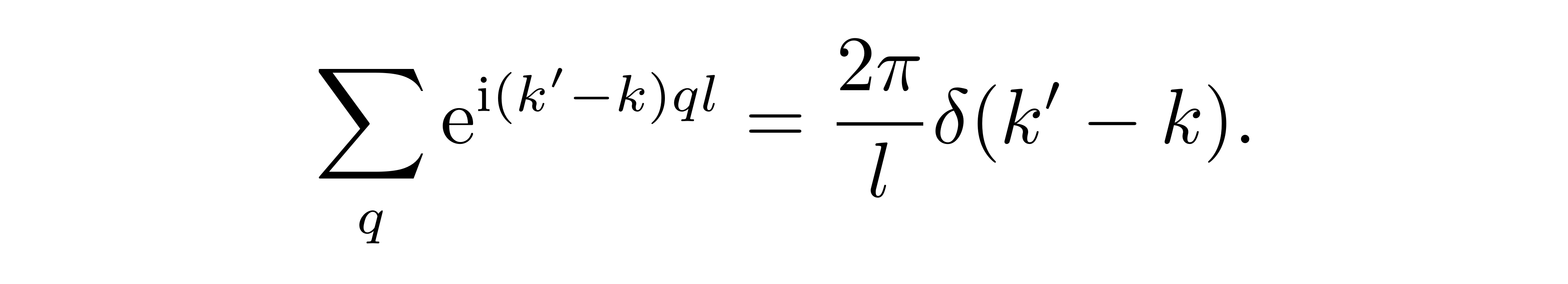
计算中,我们再次利用到了公式
![]()
张朝阳提醒,这里计算对易关系得到的是一个Dirac-δ函数。同一个模(k = k’)的“位移”、“动量”算符是不对易的,但是结果取到的不是 1 而是无穷大,它反映了参数 k 取值的连续性。
(张朝阳计算“k空间”中各力学量的对易关系)
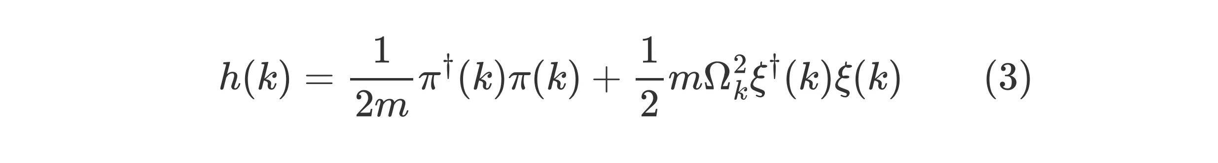
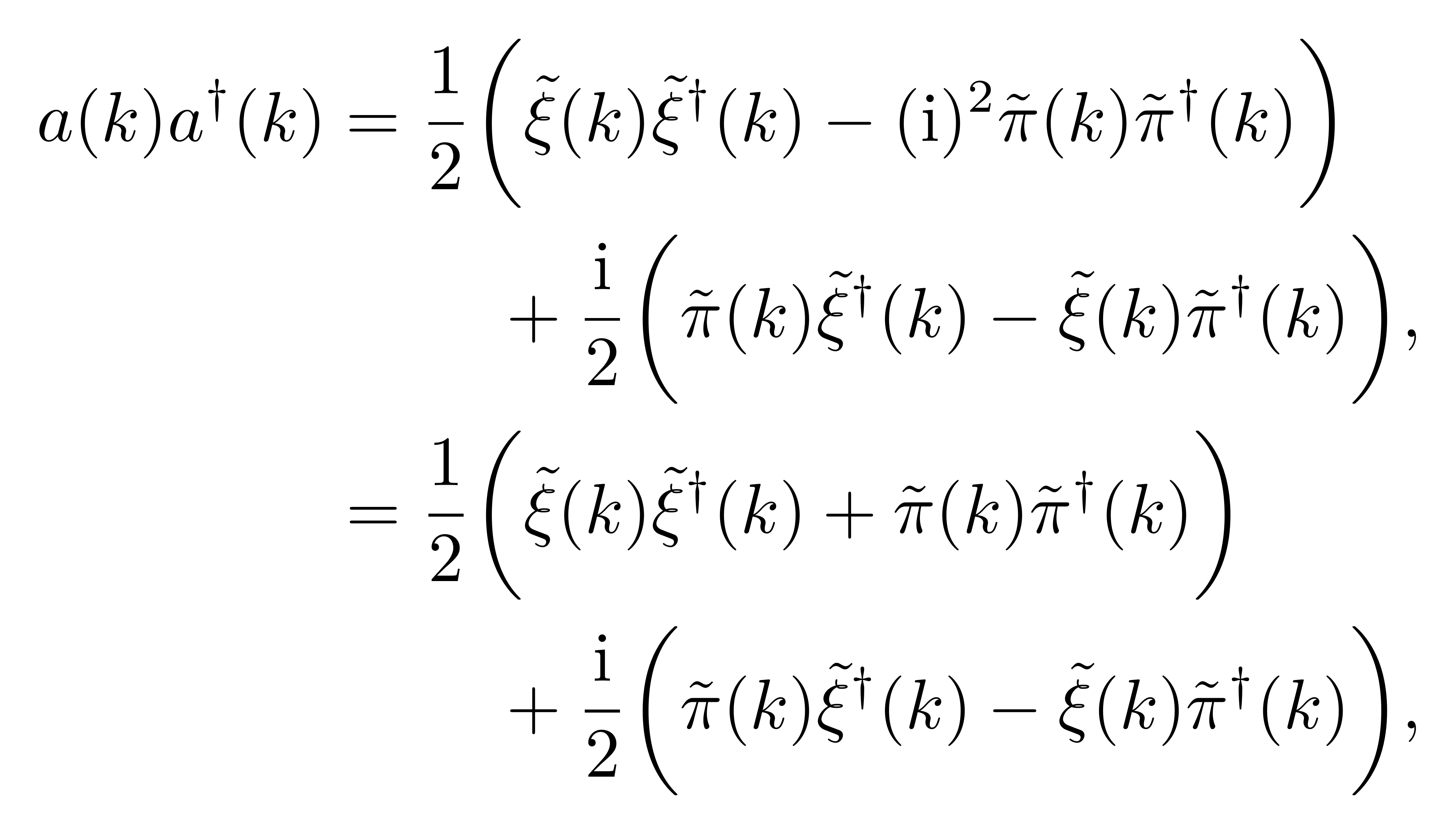
以升降算符表达的哈密顿量
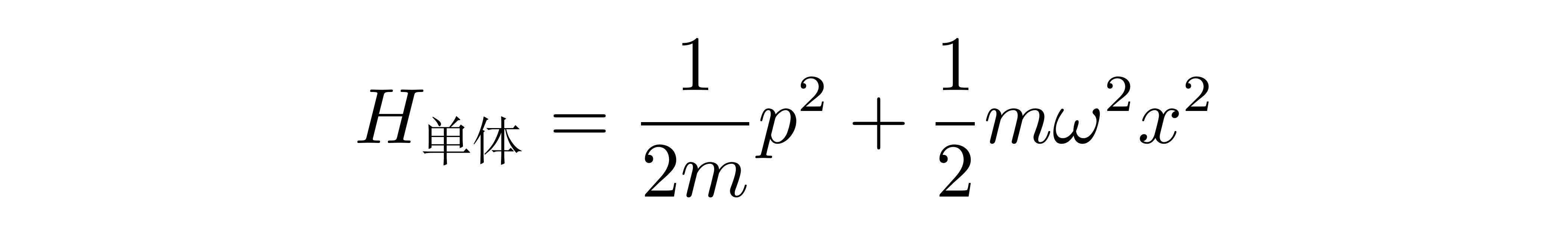
让我们重新回到单个模式的哈密顿量(参见式 (3))。将其与单个谐振子的哈密顿量
![]()
相比,它们同样具有动量、坐标平方和的形式。同时,坐标及其对应正则动量之前不对易。这提示我们,类比对单个谐振子的处理,我们能否利用变量 ξ 和 π 定义单个模式的升降算符,以将哈密顿量写成物理意义更明确的形式?
为了定义升降算符,我们首先要对相关变量作无量纲化。引入两个常量
![]()
以重定义
![]()
于是单个模式的哈密顿量 (3) 可以重写为
![]()
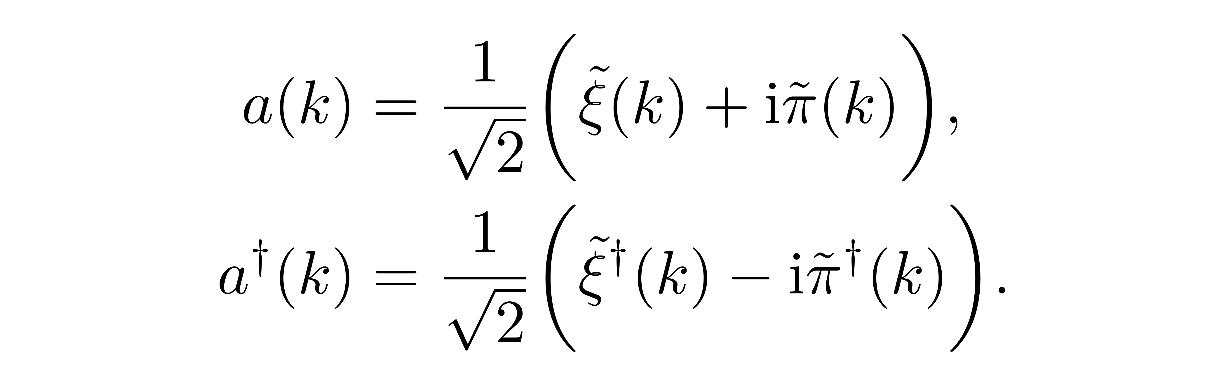
这提示我们可以考虑定义
![]()
注意到
![]()
以及
![]()
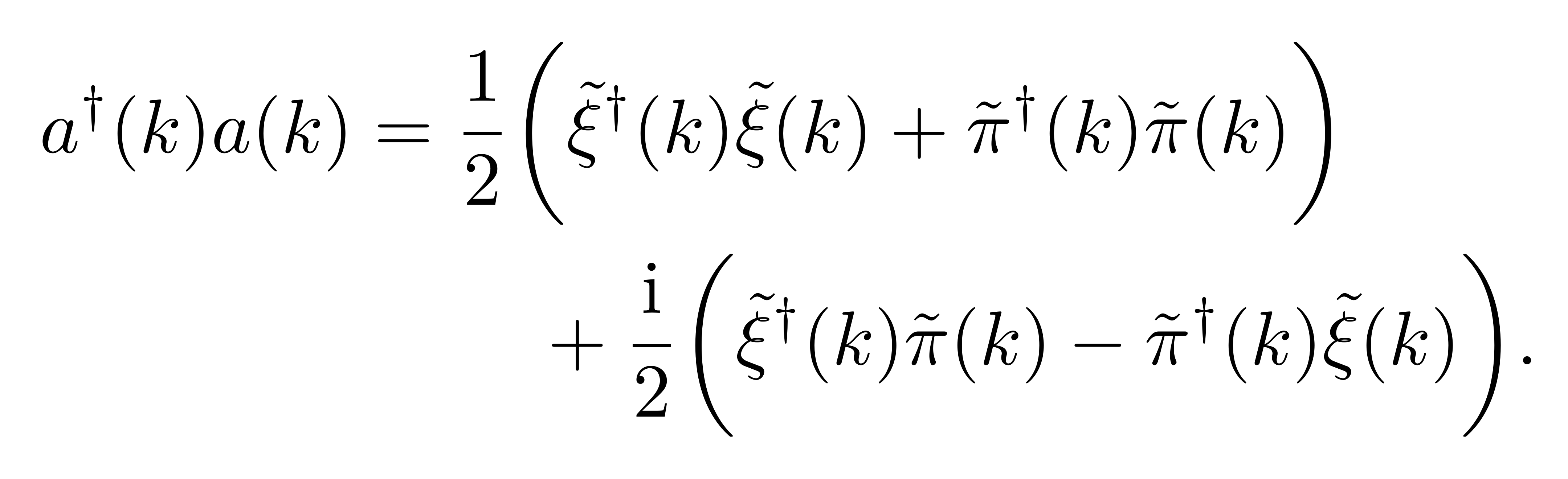
注意到,由于算符 ξ 和 π 的非厄米性,计算结果中的交叉项不能通过简单的两式加减相消掉——这与对单个谐振子的讨论有本质的差异。
幸运的是,利用共轭关系 (2),有
![]()
可以观察到此结果中的第一项
![]()
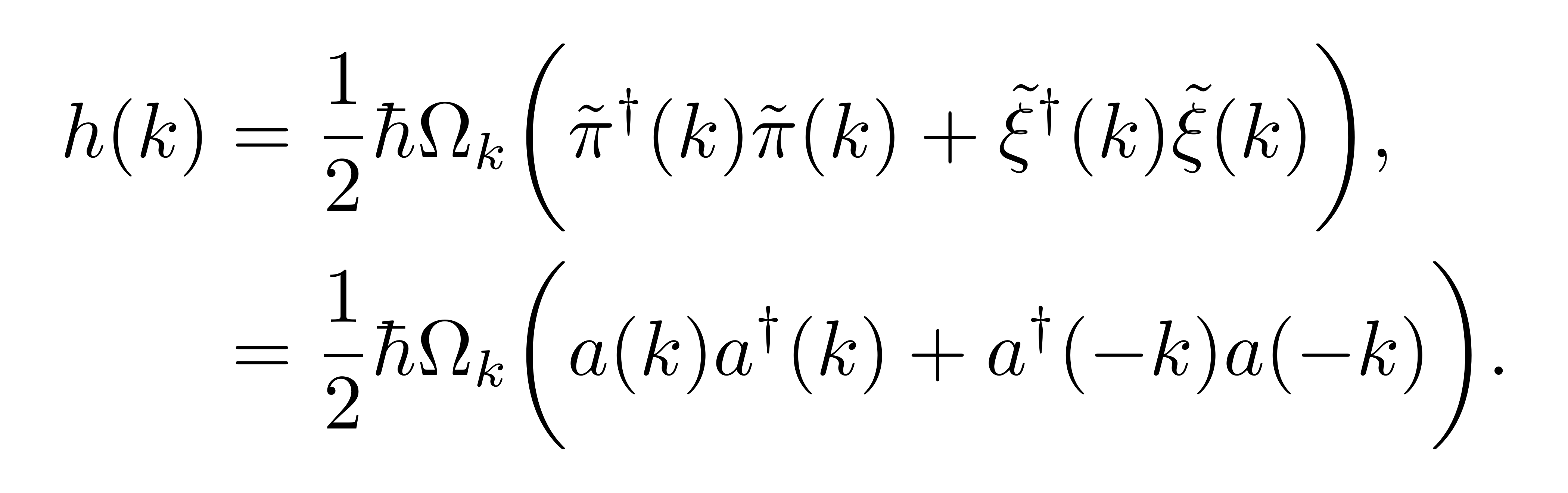
的第一项相同,而两者的交叉项恰好相差一个负号。于是,可以将给定参数 k 的某一模式的哈密顿量以升降算符改写为
![]()
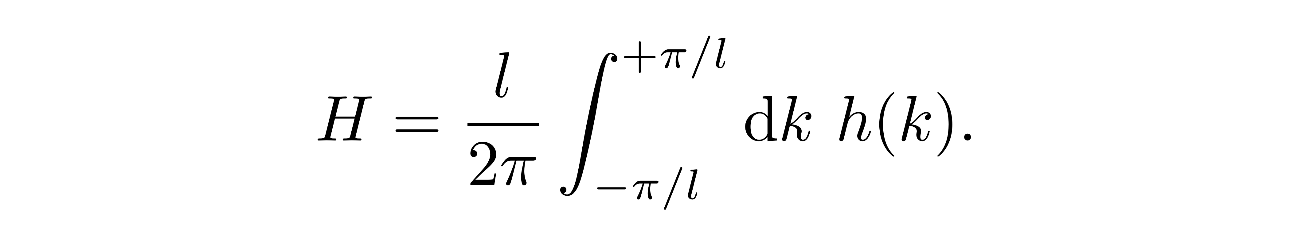
而整个谐振子链的哈密顿量即是其积分。
(张朝阳以升降算符改写谐振子链的哈密顿量)
据了解,《张朝阳的物理课》于每周五、周日中午12时在搜狐视频直播,网友可以在搜狐视频APP“关注流”中搜索“张朝阳”,观看直播及往期完整视频回放;关注“张朝阳的物理课”账号,查看课程中的“知识点”短视频;此外,还可以在搜狐新闻APP的“搜狐科技”账号上,阅览每期物理课程的详细文章。
kentucky online sports betting
betting online in usa
delaware sports betting app
发布于:内蒙古自治区
声明:该文观点仅代表作者本人,搜狐号系信息发布平台,搜狐仅提供信息存储空间服务。